Torpil çığrından çıktı
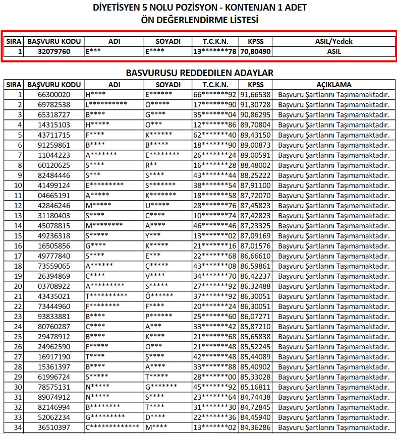
Çanakkale 18 Mart Üniversitesi’nde diyetisyenlik pozisyonu için yayınlanan ilanda KPSS’den 80 ile 90 puan alan onlarca adayın başvurusu reddedilirken, listenin en alt sırasındaki adayın başvurusu kabul edildi.
Çanakkale 18 Mart Üniversitesi (ÇOMÜ) 195 sözleşmeli personel almak üzere resmi internet sitesinde ilan yayınladı. Yayınlanan ilana göre, alınacak personel için KPSS puanı aranırken, 195 personel içinden bir de diyetisyen alınacağı ilanda yer aldı.
İlanda alınacak diyetisyen için KPSS puanının yanında, aranan özellikler şöyle yazıldı: “Beslenme ve Diyetetik lisans programından mezun olmak.TÜRKAK TS EN ISO / IEC 17025:2017 İç Denetçi Eğitimi Belgesine sahip olmak.”

Daha sonra yine Çanakkale 18 Mart Üniversitesi’nin resmi internet sitesinde diyetisyen pozisyonunun ön değerlendirme listesi yayımlandı. Yayımlanan listedeki bir ayrıntı dikkat çekti.
Aykırı'dan Egehan Erkün'ün haberine göre, KPSS puanı 70 olan bir diyetisyen “asil” olarak listede yer alırken, KPSS puanı 91 olan ve yine 70 puanın üzerindeki birçok ismin karşısına “Başvuru Şartlarını Taşımamaktadır” diye yazıldı.
Bu durum yine “adrese teslim” ilan eleştirilerine neden olurken, KPSS’den 70’in üzerinde puan alan 80 kişinin neden kabul görmediği açıklanmadı.
İşte ÇOMÜ’nün sitesinde yayımlanan o listenin tamamı:





Kaynak: KRT

HABERE YORUM KAT
Türkçe karakter kullanılmayan ve büyük harflerle yazılmış yorumlar onaylanmamaktadır.